欢迎来到彤盈生物

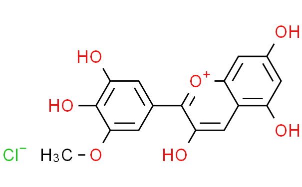
矮牵牛花素

  • 价格:¥1780
  • 编号:BWB52540
  • CAS号:1429-30-7
规格:
  • 1mg
基本信息 详细信息 相关产品
矮牵牛花素基本信息
分子式 C16H13ClO7
相关产品
热门产品