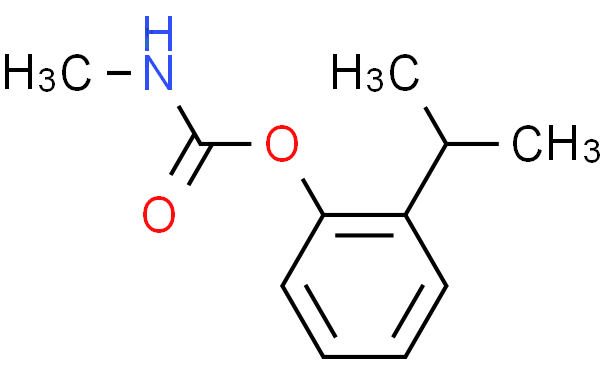
| 分子式 | C11H15NO2 |
| 基质 | 甲醇 |
| 形态 | 液态 |
| 有效期 | 18个月 |
| 存储条件 | 冷藏(4±4)℃、密闭及避光条件下保存。使用前应恒温至(20±3)℃,并充分摇动以保证均匀。本标准物质打开后应尽快使用,使用中严格防止沾污。 |
| 用途 | 本标准物质可作为工作标准,用于日常分析和检测;也可用于检测方法评价和仪器校准等实验室质量控制。 |
| 参考资料 | 农药残留检测质量控制手册。 |
| 别名 | 灭扑散;异灭威;邻异丙基苯基甲基氨基甲酸酯;叶蝉散 |
| 理化性质 | 密度 1.0±0.1 g/cm3 沸点 264.9±23.0 °C at 760 mmHg 熔点 96-97ºC 分子式 C11H15NO2 分子量 193.242 闪点 114.0±22.6 °C 精确质量 193.110275 PSA 38.33000 LogP 2.51 蒸汽压 0.0±0.5 mmHg at 25°C 折射率 1.507 储存条件 密封于0-6ºC阴凉干燥环境。 |
异辛烷中偶氮苯和马拉硫磷混合溶液标准物质
编号:GBW(E)082064 规格:1mL 浓度:10ng/μL
甲醇中氯代烯烃类混合溶液标准物质
编号:GBW(E)082078 规格:1mL 浓度:6组分
甲醇中噻唑磷溶液
编号:1ST20084-100M CAS号:98886-44-3 规格:1mL 浓度:100μg/mL
甲醇中氟虫腈硫化物溶液
编号:1ST20306-100M CAS号:120067-83-6 规格:1mL 浓度:100μg/mL
甲醇中乙基多杀菌素溶液
编号:1ST20448-1000M CAS号:187166-40-1 规格:1mL 浓度:1000μg/mL
甲醇中雷尼替丁溶液
编号:1ST10019-1000M CAS号:66357-35-5 规格:1mL 浓度:1000μg/mL