欢迎来到彤盈生物

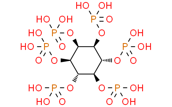
植酸UV98%

  • 价格:¥80
  • 编号:BWB51020
  • 形态:固体
  • CAS号:83-86-3
规格:
  • 20mg
基本信息 详细信息 相关产品
植酸UV98%基本信息
分子式 C6H18O24P6
形态 固体
纯度 UV≥98%
存储条件 密封避光保存,2-8℃
用途 实验室科研含量测定
注意事项 本品应在低温干燥保存,特殊产品要在氮气下保存,长时间保存不当含量会有所降低。
别名 环己六醇六磷酸;环已六醇六磷酸;肌醇六磷酸;肌醇六(磷酸二氢酯);肌醇六磷酸
理化性质 密度 2.4±0.1 g/cm3 沸点 1190.7±75.0 °C at 760 mmHg 分子式 C6H18O24P6 分子量 660.04 闪点 673.9±37.1 °C PSA 459.42000 LogP -8.47 外观性状 无色至淡黄色液体
相关产品
热门产品