| 分子式 | |
| 基质 | 二氯甲烷 |
| 形态 | 液态 |
| 有效期 | 12个月 |
| 存储条件 | 阴凉密闭及避光条件下保存。使用前应恒温至20±4℃,并充分摇动以保证均匀。本标准物质打开后应一次性使用,使用中严格防止沾污。 |
| 用途 | 本标准物质可作为工作标准,用于日常分析和检测;也可用于检测方法评价和仪器校准等实验室质量控制。 |
| 参考资料 | EPA8270D 360 |
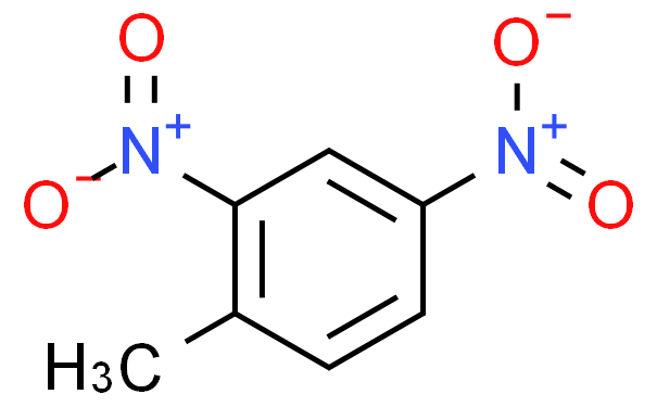
甲醇中2,4-二硝基甲苯溶液标准物质
编号:BWQ7708-2016 CAS号:121-14-2 规格:2mL 浓度:1000μg/mL
甲醇中间硝基甲苯溶液标准物质
编号:BWQ7883-2016 CAS号:99-08-1 规格:2mL 浓度:1000μg/mL
苯中五氯硝基苯溶液标准物质
编号:BWN5353-2016 CAS号:82-68-8 规格:1.2mL 浓度:100μg/mL
甲醇中对硝基甲苯(4-硝基甲苯)溶液标准物质
编号:BWQ8119-2016 CAS号:99-99-0 规格:2mL 浓度:1000μg/mL
甲醇中12二硝基苯溶液
编号:GSB 07-3025-2013 规格:1.2mL棕色安瓿瓶 浓度:1000μg/mL
甲醇中14二硝基苯溶液
编号:GSB07-3027-2013 CAS号:100-25-4 规格:1.2mL 浓度:1000μg/mL