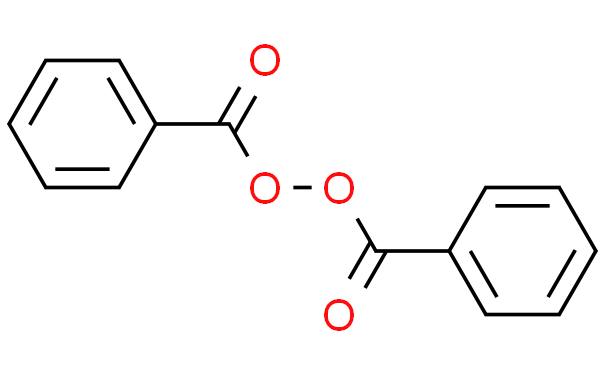
| 分子式 | C14H10O4 |
| 形态 | 白色结晶粉末 |
| 其他事项 | 含量测定用,有证书,本品为白色结晶性粉末;有特殊臭 |
| 别名 | 过氧化二苯甲酰;过氧化苯甲酰糊 |
10羟基癸烯酸纯度标准物质
编号:GBW(E)100250 CAS号:14113-05-4 规格:100mg 浓度:99.81
苯甲酸甲硝唑
编号:100734 CAS号:13182-89-3 规格:100mg
氯化三甲基铅
编号:C17882500 CAS号:1520-78-1 规格:100mg
二氯甲烷中N-亚硝基降烟碱酮(NNK)溶液
编号:1ST4906-1000L CAS号:64091-91-4 规格:1mL 浓度:1000μg/mL
六甲基磷酰三胺
编号:C14194700 CAS号:680-31-9 规格:5mL 浓度:98.5%
帕拉米韦检测标准品
编号:PMV-637676 CAS号:1041434-82-5 规格:10mg 浓度:99.6%